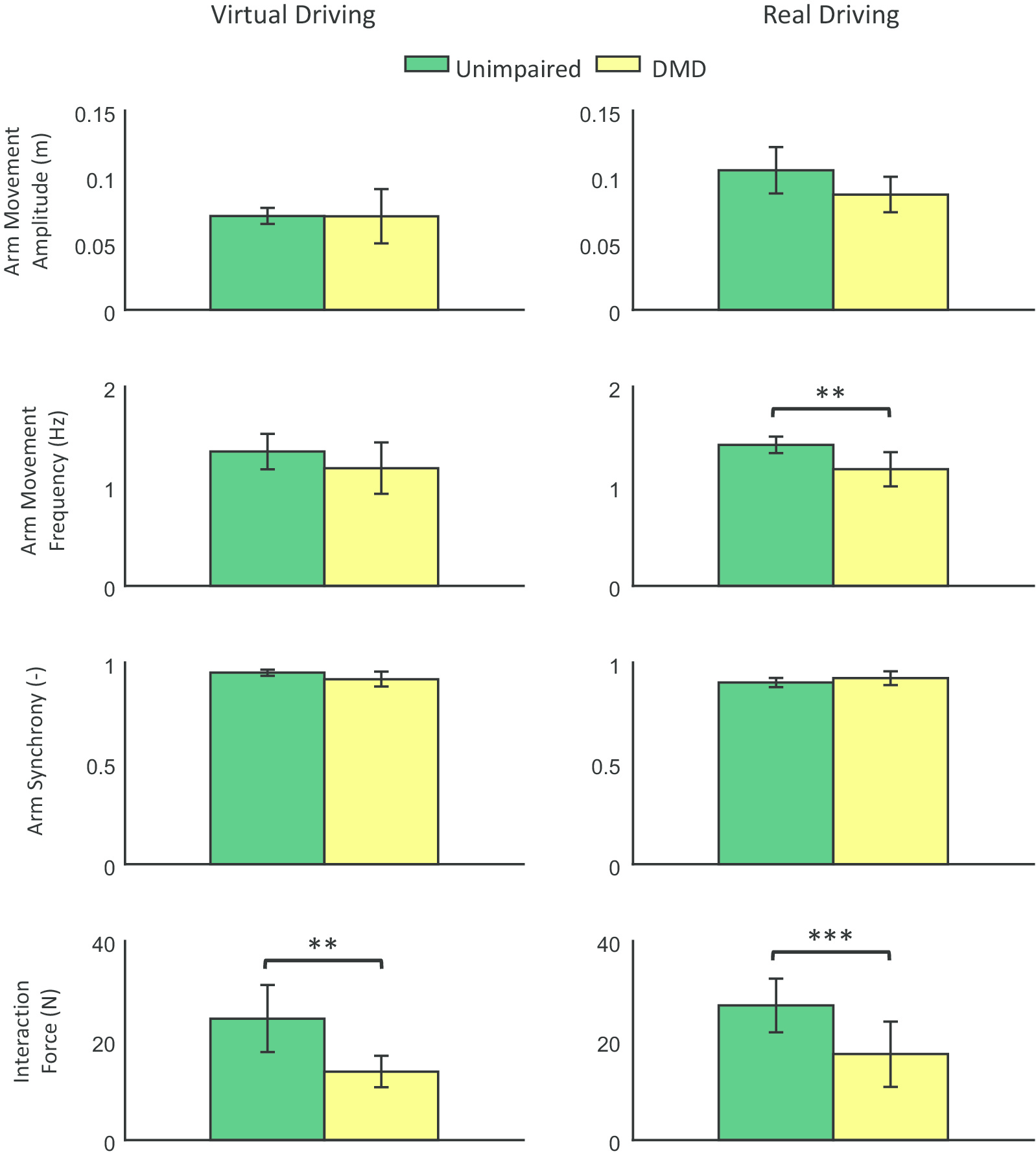
Fig. 6

Arm movement performance evaluation. Bar plots of the arm movement performance metrics for the unimpaired participants (green) and the participants with DMD (yellow) when performing the virtual and real driving tasks with MOVit. Bar height indicates the average value across participants and the error bar indicates one standard deviation. Number of asterisks indicates the level of significance: *\(p<0.05\), **\(p<0.005\), and ***\(p<0.001\)