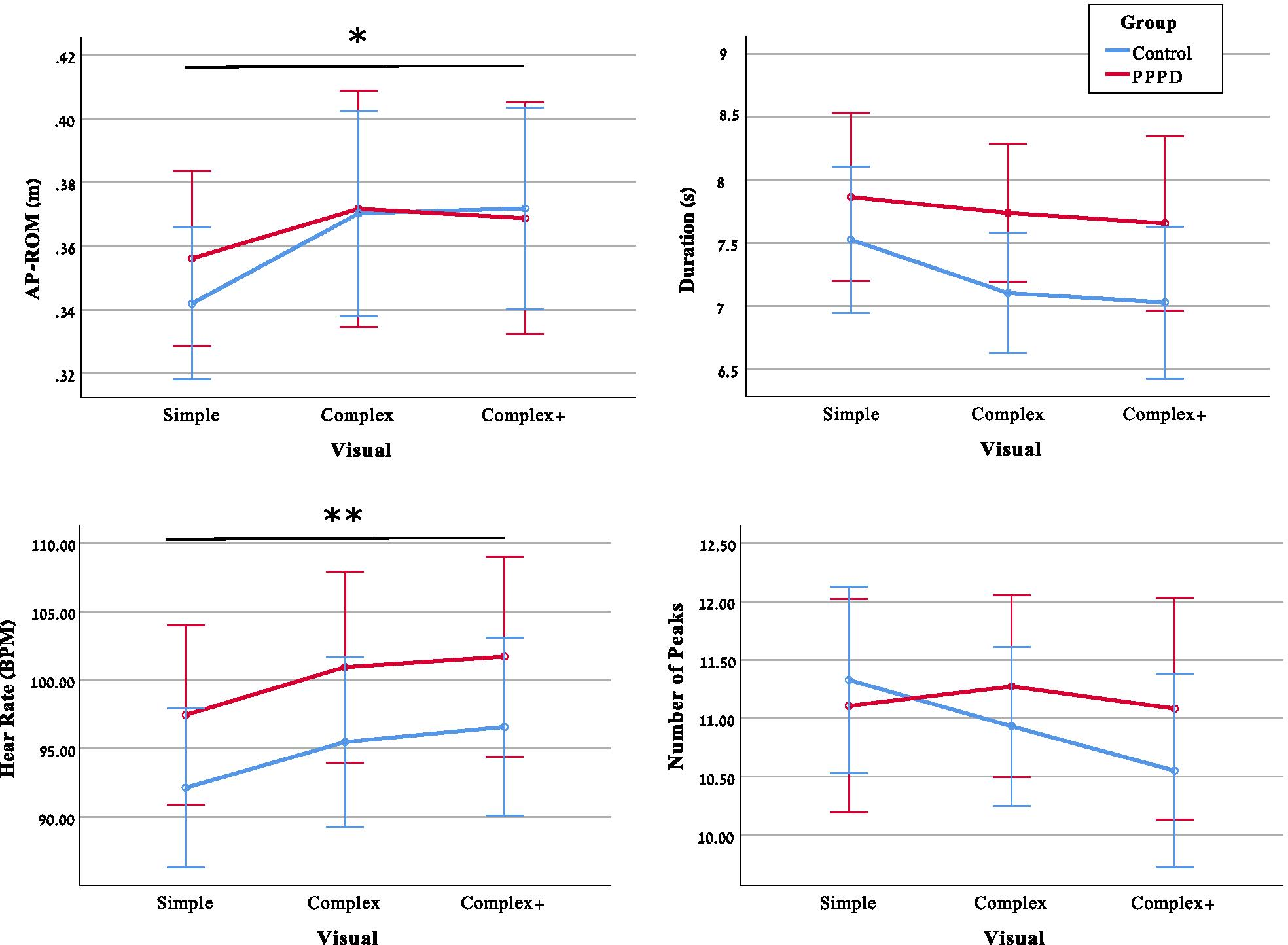
Fig. 3

Results of Analysis of Variance (ANOVA) for kinematic variables and heart-rate across groups (red = PPPD, blue = Control) and conditions (Simple = empty platform, Complex = busy platform, and Complex + = busy platform with trains). Error bars denote 95% confidence intervals